Accelerator Oscillator Formula . Low — the lowest price of the bar;. the accelerator oscillator is a technical analysis tool that aims to signal changes in market momentum before they occur in. accelerator oscillator the accelerator oscillator. we will learn about the accelerator oscillator indicator (ac) in detail as we learn what it is, what it measures, how it can be calculated, how to read. Fast moving average minus slow moving average to end up with “ao” forming moving average. Median price — median price; the calculation works like this: High — the highest price of the bar; if you want a tool that will help you identify what momentum is doing when you are trading forex, the bill williams accelerator.
from www.researchgate.net
High — the highest price of the bar; the calculation works like this: Fast moving average minus slow moving average to end up with “ao” forming moving average. the accelerator oscillator is a technical analysis tool that aims to signal changes in market momentum before they occur in. if you want a tool that will help you identify what momentum is doing when you are trading forex, the bill williams accelerator. we will learn about the accelerator oscillator indicator (ac) in detail as we learn what it is, what it measures, how it can be calculated, how to read. Low — the lowest price of the bar;. Median price — median price; accelerator oscillator the accelerator oscillator.
Oscillator strength as a function of inner radius R 1 , outer radius R
Accelerator Oscillator Formula Median price — median price; Median price — median price; if you want a tool that will help you identify what momentum is doing when you are trading forex, the bill williams accelerator. accelerator oscillator the accelerator oscillator. Fast moving average minus slow moving average to end up with “ao” forming moving average. Low — the lowest price of the bar;. High — the highest price of the bar; the calculation works like this: the accelerator oscillator is a technical analysis tool that aims to signal changes in market momentum before they occur in. we will learn about the accelerator oscillator indicator (ac) in detail as we learn what it is, what it measures, how it can be calculated, how to read.
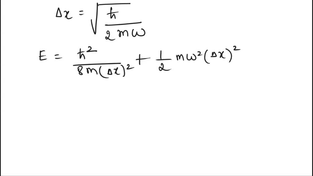
From www.numerade.com
SOLVED The angular frequency related with the period of the Accelerator Oscillator Formula Fast moving average minus slow moving average to end up with “ao” forming moving average. Low — the lowest price of the bar;. we will learn about the accelerator oscillator indicator (ac) in detail as we learn what it is, what it measures, how it can be calculated, how to read. Median price — median price; the calculation. Accelerator Oscillator Formula.
From www.moneycontrol.com
How to use 'Awesome Oscillator' in trading strategy Accelerator Oscillator Formula the calculation works like this: Low — the lowest price of the bar;. we will learn about the accelerator oscillator indicator (ac) in detail as we learn what it is, what it measures, how it can be calculated, how to read. High — the highest price of the bar; if you want a tool that will help. Accelerator Oscillator Formula.
From www.tradingview.com
Accelerator Oscillator (AC) — Technical Indicators — Indicators and Accelerator Oscillator Formula we will learn about the accelerator oscillator indicator (ac) in detail as we learn what it is, what it measures, how it can be calculated, how to read. High — the highest price of the bar; Fast moving average minus slow moving average to end up with “ao” forming moving average. if you want a tool that will. Accelerator Oscillator Formula.
From angdodosafe.blogspot.com
Accelerator Oscillator Vs Awesome Oscillator Accelerator Oscillator Formula Low — the lowest price of the bar;. Median price — median price; we will learn about the accelerator oscillator indicator (ac) in detail as we learn what it is, what it measures, how it can be calculated, how to read. accelerator oscillator the accelerator oscillator. if you want a tool that will help you identify what. Accelerator Oscillator Formula.
From fxdreema.com
Working With Awesome Oscillator And Accelerator Oscillator fxDreema Accelerator Oscillator Formula Low — the lowest price of the bar;. the calculation works like this: the accelerator oscillator is a technical analysis tool that aims to signal changes in market momentum before they occur in. we will learn about the accelerator oscillator indicator (ac) in detail as we learn what it is, what it measures, how it can be. Accelerator Oscillator Formula.
From www-he.scphys.kyoto-u.ac.jp
NeutrinoOscillations Accelerator Oscillator Formula if you want a tool that will help you identify what momentum is doing when you are trading forex, the bill williams accelerator. accelerator oscillator the accelerator oscillator. the accelerator oscillator is a technical analysis tool that aims to signal changes in market momentum before they occur in. Median price — median price; Fast moving average minus. Accelerator Oscillator Formula.
From eatradingacademy.com
Accelerator/Decelerator Oscillator Indicator EA Trading Academy Accelerator Oscillator Formula if you want a tool that will help you identify what momentum is doing when you are trading forex, the bill williams accelerator. Median price — median price; we will learn about the accelerator oscillator indicator (ac) in detail as we learn what it is, what it measures, how it can be calculated, how to read. the. Accelerator Oscillator Formula.
From patternswizard.com
Accelerator Oscillator How to trade it? PatternsWizard Accelerator Oscillator Formula the accelerator oscillator is a technical analysis tool that aims to signal changes in market momentum before they occur in. Low — the lowest price of the bar;. accelerator oscillator the accelerator oscillator. Fast moving average minus slow moving average to end up with “ao” forming moving average. Median price — median price; High — the highest price. Accelerator Oscillator Formula.
From www.youtube.com
AC индикатор Accelerator Oscillator как правильно применять? Индикатор Accelerator Oscillator Formula High — the highest price of the bar; Fast moving average minus slow moving average to end up with “ao” forming moving average. accelerator oscillator the accelerator oscillator. the calculation works like this: Low — the lowest price of the bar;. Median price — median price; the accelerator oscillator is a technical analysis tool that aims to. Accelerator Oscillator Formula.
From driverlayer.com
simple harmonic oscillator differential equation DriverLayer Search Accelerator Oscillator Formula High — the highest price of the bar; the accelerator oscillator is a technical analysis tool that aims to signal changes in market momentum before they occur in. if you want a tool that will help you identify what momentum is doing when you are trading forex, the bill williams accelerator. Low — the lowest price of the. Accelerator Oscillator Formula.
From www.dolphintrader.com
Accelerator Oscillator Forex Strategy Accelerator Oscillator Formula accelerator oscillator the accelerator oscillator. Low — the lowest price of the bar;. the accelerator oscillator is a technical analysis tool that aims to signal changes in market momentum before they occur in. Median price — median price; High — the highest price of the bar; if you want a tool that will help you identify what. Accelerator Oscillator Formula.
From schematicscolia.z13.web.core.windows.net
Local Oscillator Frequency Formula Accelerator Oscillator Formula accelerator oscillator the accelerator oscillator. Low — the lowest price of the bar;. we will learn about the accelerator oscillator indicator (ac) in detail as we learn what it is, what it measures, how it can be calculated, how to read. the calculation works like this: Fast moving average minus slow moving average to end up with. Accelerator Oscillator Formula.
From electricalworkbook.com
What is RC Phase Shift Oscillator? Circuit Diagram, Working & Frequency Accelerator Oscillator Formula the calculation works like this: we will learn about the accelerator oscillator indicator (ac) in detail as we learn what it is, what it measures, how it can be calculated, how to read. the accelerator oscillator is a technical analysis tool that aims to signal changes in market momentum before they occur in. Median price — median. Accelerator Oscillator Formula.
From www.slideserve.com
PPT Neutrino Physics PowerPoint Presentation, free download ID6021355 Accelerator Oscillator Formula the accelerator oscillator is a technical analysis tool that aims to signal changes in market momentum before they occur in. if you want a tool that will help you identify what momentum is doing when you are trading forex, the bill williams accelerator. the calculation works like this: High — the highest price of the bar; Fast. Accelerator Oscillator Formula.
From forexrobotexpert.com
How to implement Accelerator Oscillator? MQL Programming Forex Accelerator Oscillator Formula we will learn about the accelerator oscillator indicator (ac) in detail as we learn what it is, what it measures, how it can be calculated, how to read. the calculation works like this: if you want a tool that will help you identify what momentum is doing when you are trading forex, the bill williams accelerator. Web. Accelerator Oscillator Formula.
From www.numerade.com
SOLVED Harmonic oscillator, orderofmagnitude estimates (a) Consider Accelerator Oscillator Formula if you want a tool that will help you identify what momentum is doing when you are trading forex, the bill williams accelerator. Fast moving average minus slow moving average to end up with “ao” forming moving average. we will learn about the accelerator oscillator indicator (ac) in detail as we learn what it is, what it measures,. Accelerator Oscillator Formula.
From www.spidersoftwareindia.com
What is the use of an Accelerator Oscillator Indicator in Trading? Accelerator Oscillator Formula the accelerator oscillator is a technical analysis tool that aims to signal changes in market momentum before they occur in. the calculation works like this: High — the highest price of the bar; Low — the lowest price of the bar;. if you want a tool that will help you identify what momentum is doing when you. Accelerator Oscillator Formula.
From www.cmcmarkets.com
Awesome Oscillator Strategy & Calculation CMC Markets Accelerator Oscillator Formula Median price — median price; accelerator oscillator the accelerator oscillator. we will learn about the accelerator oscillator indicator (ac) in detail as we learn what it is, what it measures, how it can be calculated, how to read. Low — the lowest price of the bar;. if you want a tool that will help you identify what. Accelerator Oscillator Formula.